# 垃圾回收算法
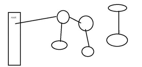
JDK 使用了一种算法,它的思想是:枚举根节点,做可达性分析

如上图所示,从根节点开始,引用了哪些对象,一层一层下去,最右侧的不可达,则它是一个垃圾
根节点有:类加载器、Thread、虚拟机栈的本地变量表、static 成员、常量引用、本地方法栈的变量等等。
确定垃圾之后,下面来介绍常用的垃圾回收方法
# 标记清除
算法:分为「标记」和「清除」两个阶段:
- 标记:首先标记出所有需要回收的对象
- 清除:在标记完成后统一回收所有
缺点:
- 效率不高:标记和清除两个过程的效率都不高
- 产生碎片:碎片太多会导致提前 GC
# 复制
它将可用内存按容量划分为大小相等的两块,每次只使用其中的一块。当这一块的内存用完了,就将还存活的对象复制到另外一块上面,然后再把自己使用过的内存空一次清理掉。
这种方式前面的 S0 和 S1 区就是使用的这种方式。
优缺点:实现简单,运行高效,但是空间利用率低。
# 标记整理
标记过程任然与 「标记清除」算法一样,但是后续步骤不是直接对可回收对象进行清理,而是让所有存活的对象都向一端移动,然后直接清理掉端边界以外的内存。
优缺点:没有了内存碎片,但是整理内存比较耗时。
# 分带垃圾回收
Young 区用复制算法
大部分对象生命周期非常短,存活的对象非常少,使用复制算法效率很高
Old 区用标记清除或标记整理
存放的对象,生命周期都是比较长的,垃圾相对较少,使用标记清除或标记整理较好
# 对象分配
对象优先在 Young 区中的 Eden 区分配
但是大对象会直接进入老年代 Old 区
对象的大小是通过
-XX:PretenureSizeThreshold来定义的长期存活的对象,将进入老年代
-XX:MaxTenuringThredhold:最大年龄-XX:+PrintTenuringDistribution:发生 Young GC 的时候打印存活对象的年龄分布信息-XX:TargetSurvivorRatio:比例在 Young 区的对象,不会一直存在 Young 区,经过几次垃圾回收,还存在 Young 区的则会晋升到 Old 区,每个对象都会有一个类型 年龄 的概念,每经过一次 Young GC,存活下来的对象年龄 + 1
当对象的年龄到达
MaxTenuringThredhold岁时,将进入 Old 区每次 Young GC 后,存活的对象如果大于
TargetSurvivorRatio该值,则计算存活对象的平均年龄,达到该平均年龄的对象也会进入 Old 区